Рубрика «Советы по ремонту»

Что таке жесткость воды, ее классификация, как определить жесткость и способы умягчить

Жесткость воды – один из важнейших критериев, определяющих её потребительские свойства. Образуя нерастворимые минеральные отложения на внутренней поверхности электроприборов и промышленного оборудования, она приводит к ухудшению их эксплуатационных характеристик. Для оценки качества воды установлены допустимые пределы показателя. Образование солей определяющие жесткость воды Как образуются соли жесткости Вода – универсальный растворитель. Состав природных источников формируется в …

Что делать, если вы затопили соседей снизу: порядок действий

Затопление квартиры соседей нижнего этажа является одним из наиболее часто встречающихся происшествий в многоквартирных домах. Однако не всегда участники подобных событий знают, как правильно действовать, чтобы защитить свои права. В том числе это касается и предполагаемых виновников, то есть жителей верхней квартиры. Из нашей подробной инструкции вы узнаете, что делать, если затопил соседей снизу. Такой …

Преобразование ppm в мг/л

Американская единица показателя жесткости воды. Часто встречается в измерителях жёсткости воды, инструкциях к бытовым приборам и к гигиеническим средствам. Поскольку единицы не совпадают с российскими, то это затрудняет ориентирование в показаниях. Быстро преобразовать ppm в мг/л поможет калькулятор. ppm — универсальная единица измерения каких-либо величин, равная 1/1000000 от базового показателя. В переводе с английского – …

Эффективные способы стирки кухонных полотенец от пятен и запаха

Полотенце на кухне – это один из самых быстро загрязняющихся предметов. Когда всё блестит от чистоты, весь вид может испортить полотенце, на котором видны пятна от чая, масла или томата. В статье расскажем, как отстирать кухонные полотенца простыми способами, и приведём несколько хитростей от опытных хозяек. При правильном использовании и уходе полотенца для кухни будут …

Что делать если соседи шумят днём и ночью, куда обращаться

Даже в качественном многоквартирном доме (МКД) с хорошей звукоизоляцией, найдутся люди, не соблюдающие правила совместного проживания. Как поступить, если соседи шумят, делают ремонт в неположенное время, мешают спать ночью и не дают отдохнуть днём? Как и куда пожаловаться на соседей за шум, можно ли решить дело мирным путём, какие действия предпринять — обо всём этом …

Конвертер перевода единиц мг/л в мг-экв/л

Жёсткость воды — это показатель содержания в ней солей щелочных металлов. Для отображения качественных показателей воды может использоваться общая жёсткость воды (Жо) измеряемая в мг/л или градус жёсткости (оЖ) – мг-экв/л принятый в России основной единицей измерения. Для быстрого перевода мг/л в мг-экв/л воспользуйтесь конвертером единиц. Общая жёсткость складывается и двух видов жёсткости: временной Жв (карбонатной) …

Как сделать коптилку горячего копчения

Хотя диетологи утверждают, что копчёности вредны для организма, любителей таких продуктов, это не останавливает. Кто-то покупает деликатесы в магазине, а кто-то предпочитает готовить их самостоятельно. В устройстве коптильни горячего способа копчения нет ничего сложного. Мы расскажем, как и из чего, может быть сделана коптилка горячего копчения своими руками. Самодельная коптилка горячего и холодного копчения Горячее …

Как сделать коптилку холодного копчения своими руками, материалы, чертежи

Если вы предпочитаете натуральные продукты, вместо суррогатов, обработанных жидким дымом, которые в основном встречаются на прилавках, то домашняя коптильня холодного копчения, сделанная своими руками — то, что вам нужно. В статье рассмотрим основные вопросы, связанные с холодным копчением: принцип работы, преимущества, виды конструкций. Коптилка холодного копчения из дерева совмещена с кирпичной топкой Принцип работы коптильни …

Онлайн калькулятор расчета тока по мощности

Делая проводку под новый, мощный электроприбор или собирая электрощиток в квартире, нужно знать максимальный ток потребляемый прибором или на линии от щитка. Это необходимо для правильного подбора автомата защиты от перегрузки и проводов по сечению. Калькулятор поможет сделать расчёт тока по мощности при работе от однофазной сети переменного тока. Для расчёта силы тока используется формула: …

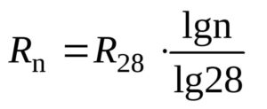
Онлайн калькулятор набора прочности бетона

После заливки бетона начинается процесс его затвердевания. Зная его прочность на данный день, можно принимать решение о снятии опалубки и начале строительства. С помощью калькулятора вы рассчитаете, какую твёрдость набрал бетон за время прошедшее с его заливки при температуре 15°С. Чтобы было понятно, давайте рассмотрим, как осуществляется расчёт и какие данные используются. Но сначала определимся – …